*Vui lòng nhập đủ thông tin email hoặc số điện thoại
Phòng CSGT Công an tỉnh Bắc Ninh
NGAY LẬP TỨC: 350 chủ xe có biển số sau khẩn trương nộp phạt nguội theo Nghị định 168
Thời sự - Xã hội 2026-03-31T19:38:00Chủ những phương tiện sau chú ý nhanh chóng đi nộp phạt theo đúng quy định để tránh những rắc rối phát sinh.
819 chủ xe có biển số sau nhanh chóng nộp phạt nguội theo Nghị định 168: Vi phạm cùng 1 lỗi có mức phạt lên tới 22 triệu đồng
Thời sự - Xã hội 2026-03-18T13:20:00Công an tỉnh Bắc Ninh mới đây đã công bố danh sách các phương tiện vi phạm lỗi chạy quá tốc độ từ ngày 09/3/2026 đến ngày 15/3/2026.
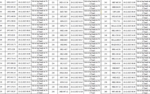
Danh sách 526 ô tô, xe máy bị lỗi phạt nguội theo Nghị định 168, có biển số nghi là giả
Thời sự - Xã hội 2026-02-27T21:30:00Đề nghị các chủ phương tiện có tên trong danh sách khẩn trương liên hệ cơ quan chức năng nơi phát hiện vi phạm để được hướng dẫn, giải quyết theo quy định.
1166 chủ xe máy, ô tô có biển số sau nhanh chóng nộp phạt nguội theo Nghị định 168
Thời sự - Xã hội 2026-02-26T15:44:00Chủ xe máy, ô tô có trong danh sách dưới đây cần sớm kiểm tra thông tin.
493 chủ xe máy có biển số sau nhanh chóng nộp phạt nguội theo Nghị định 168
Thời sự - Xã hội 2026-01-15T13:00:00Những chủ xe có trong danh sách dưới đây cần sớm kiểm tra thông tin.
742 chủ xe máy, ô tô có biển số sau nhanh chóng nộp phạt nguội theo Nghị định 168
Xe 2025-12-26T11:44:00Những chủ phương tiện có trong danh sách dưới đây cần nhanh chóng kiểm tra thông tin.
583 chủ xe máy có biển số sau nhanh chóng nộp phạt nguội theo Nghị định 168
Những chủ xe máy có trong danh sách dưới đây cần sớm kiểm tra thông tin.
501 chủ xe máy, ô tô có biển số sau nhanh chóng nộp phạt nguội theo Nghị định 168
Thời sự - Xã hội 2025-09-22T13:04:00Những chủ phương tiện có trong danh sách dưới đây cần sớm kiểm tra thông tin.
Hơn 500 chủ xe có biển số sau nhanh chóng nộp phạt nguội theo Nghị định 168
Thời sự - Xã hội 2025-09-15T09:59:00Những chủ phương tiện có trong danh sách dưới đây cần sớm kiểm tra thông tin.
452 chủ xe có biển số sau nhanh chóng nộp phạt nguội theo Nghị định 168
Thời sự - Xã hội 2025-09-08T13:29:00Những chủ phương tiện có trong danh sách dưới đây cần nhanh chóng kiểm tra thông tin.
Danh sách 474 xe bị phạt nguội trong tuần ở Bắc Ninh
Thời sự - Xã hội 2025-08-04T10:52:00Tuần từ 25/7 đến 31/7, phòng Cảnh sát giao thông Bắc Ninh phát hiện và ra quyết định xử lý phạt nguội 474 xe vi phạm.
Tâm điểm

