CSGT Hà Nội công bố danh sách 342 ô tô, xe máy vi phạm bị camera AI phát hiện

Minh Tuệ |

Phòng CSGT Công an TP Hà Nội thông báo danh sách 82 ô tô, 260 xe máy vi phạm giao thông bị camera AI phát hiện.

Tối 6/1, Công an thành phố Hà Nội thông báo danh sách 342 phương tiện vi phạm giao thông được phát hiện qua hệ thống camera AI.

Thời gian qua, hệ thống camera AI đã phát hiện, ghi hình 82 xe ô tô, 260 xe máy vi phạm trật tự an toàn giao thông. Phòng Cảnh sát giao thông Công an TP Hà Nội đã gửi thông báo đến các chủ phương tiện.

Danh sách 82 ô tô vi phạm giao thông:

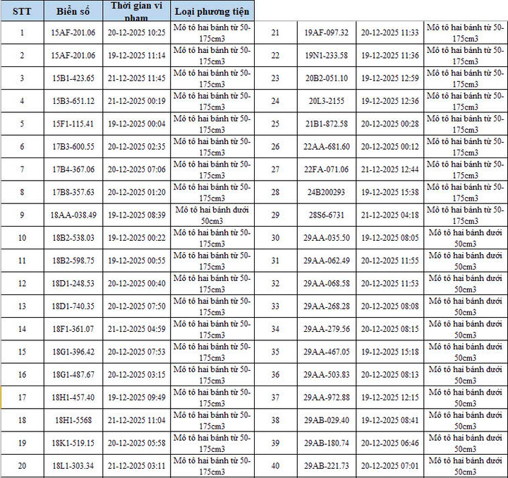
Danh sách 260 xe máy vi phạm giao thông:

Ngày 13/12, Công an thành phố Hà Nội chính thức đưa Trung tâm điều khiển giao thông Hà Nội vào hoạt động và thực hiện việc xử lý vi phạm hành chính đối với một hành vi vi phạm trong lĩnh vực trật tự, an toàn giao thông.

Qua thời gian thực hiện, hệ thống camera AI phát hiện, ghi hình hàng trăm trường hợp phương tiện vi phạm, gồm cả ô tô và mô tô.

Theo đó, chủ phương tiện, người điều khiển phương tiện có thể tra cứu thông tin phạt nguội trên ứng dụng VNeTraffic hoặc trang thông tin điện tử của Cục Cảnh sát giao thông - Bộ Công an tại địa chỉ www.csgt.vn, hoặc liên hệ trực tiếp Đội Chỉ huy giao thông và điều khiển đèn tín hiệu giao thông (Phòng Cảnh sát giao thông - Công an TP Hà Nội) tại số 54 Trần Hưng Đạo, phường Cửa Nam, TP Hà Nội, điện thoại: 0692.196.440 để được hướng dẫn, giải quyết.

Đối với người dân cư trú trên địa bàn Hà Nội có thể đến 14 địa điểm tiếp nhận, giải quyết kết quả thu thập được bằng phương tiện, thiết bị nghiệp vụ (phạt nguội) của Phòng Cảnh sát giao thông để giải quyết vụ việc vi phạm hành chính.

Tags

Đường dây nóng: 0943 113 999

Soha
Báo lỗi cho Soha

*Vui lòng nhập đủ thông tin email hoặc số điện thoại