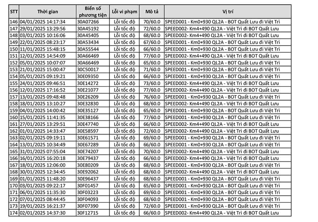
Công an tỉnh Vĩnh Phúc vừa thông báo kết quả phát hiện, xử lý phạt nguội qua hệ thống camera giám sát giao thông trong tháng 1/2025, cụ thể như sau:















Theo Nghị định 168, mức phạt đối với hành vi điều khiển phương tiện chạy quá tốc độ được quy định cụ thể như sau:
Đối với xe ô tô:
Vượt quá tốc độ từ 5 km/h đến dưới 10 km/h: Phạt tiền từ 800.000 đồng đến 1.000.000 đồng.
Vượt quá tốc độ từ 10 km/h đến 20 km/h: Phạt tiền từ 4.000.000 đồng đến 6.000.000 đồng; đồng thời bị trừ 2 điểm trên giấy phép lái xe.
Vượt quá tốc độ từ trên 20 km/h đến 35 km/h: Phạt tiền từ 6.000.000 đồng đến 8.000.000 đồng; đồng thời bị trừ 4 điểm trên giấy phép lái xe.
Vượt quá tốc độ trên 35 km/h: Phạt tiền từ 12.000.000 đồng đến 14.000.000 đồng; đồng thời bị trừ 6 điểm trên giấy phép lái xe.
Gây tai nạn giao thông do chạy quá tốc độ: Phạt tiền từ 20.000.000 đồng đến 22.000.000 đồng; đồng thời bị trừ 10 điểm trên giấy phép lái xe.
Đối với xe máy:
Vượt quá tốc độ từ 5 km/h đến dưới 10 km/h: Phạt tiền từ 400.000 đồng đến 600.000 đồng.
Vượt quá tốc độ từ 10 km/h đến 20 km/h: Phạt tiền từ 800.000 đồng đến 1.000.000 đồng.
Vượt quá tốc độ trên 20 km/h: Phạt tiền từ 6.000.000 đồng đến 8.000.000 đồng; đồng thời bị trừ 4 điểm trên giấy phép lái xe.
Gây tai nạn giao thông do chạy quá tốc độ: Phạt tiền từ 10.000.000 đồng đến 14.000.000 đồng; đồng thời bị trừ 10 điểm trên giấy phép lái xe.